Top Shark, la Final: ¡saquemos la calculadora!
Por dentro TOP SHARK
Ante el apretado final al que hoy nos someteremos, pongamos sobre la mesa algunos números que nos ayuden a focalizar los torneos donde pueden darse los giros más inesperados.
Ya hemos dicho con anterioridad que habrá que esperar hasta la última jornada de las Winamax Series para desvelar la incógnita de una ecuación que lleva varios meses sobre la mesa. La Top Shark Academy busca un ganador y, por lo tanto, un puesto en las filas del Team Winamax durante un año. Cuatro candidatos llegaron a la prueba final en la que les propusimos medirse donde se supone mejor se saben desenvolver, los torneos online. El MTT Challenge llega hoy a su fin con la incertidumbre de no saber quién se lo acabará llevando, visto que matemáticamente, todo es posible.
Sin embargo, ¿qué carambolas deben darse para que haya un cambio de última hora? ¿Qué necesitan saber Timotyy, ontherirri, L1m1tLess y cast1gad0rrr, así como el resto de aficionados que siguen desde la distancia el desenlace de la competición? Pongamos alguna información sobre la mesa para que todo el mundo disponga de los datos necesarios para no perderse en este mar de números.
¿Cómo se contabiliza?
El primer dato importante que hay que tener en cuenta, y que resulta capital a la hora de entender cómo se confecciona la clasificación del MTT Challenge es el siguiente: solo influyen los 10 mejores resultados, es decir, cualquier resultado que no sume los puntos necesarios por parte de cada jugador para entrar en su particular Top 10, es equivalente a no haberlo jugado. Es por ello que los cuatro aspirantes deberán lograr resultados por encima de las siguientes puntuaciones si quieren incrementar su puntuación:
Borja Gross “Timotyy”: 2.405,61 (su Top 10)
Jorge Ríos “ontherirri”: 2.575,72 (su Top 10)
Javi Rodríguez “L1m1tLess”: 2.262,85 (su Top 10)
Nacho Bárcenas “cast1gad0rrr”: 1.597,52 (su Top 10)
* Importante tener en cuenta que cuando un resultado entra en el Top 10 de un jugador, hay que eliminar automáticamente el último resultado que hasta el momento figuraba, sumando así solo la diferencia entre uno y otro (ejemplo: menor resultado = 1.000, nuevo resultado = 5.000. Puntos a acumular: 5.000-1.000= 4.000).
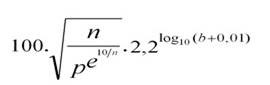
La forma de contabilizar los resultados de los protagonistas del MTT Challenge se basa en la siguiente fórmula, donde n significa el número de participantes en el torneo, p la posición obtenida en el torneo y b el buy-in medio del torneo en caso de tratarse de un torneo con recompras o buy-in + KO.
Para facilitar las cosas, lógicamente, tenemos un apartado donde acceder directamente y al cual apostamos que los aspirantes de la Top Shark han estado frecuentando últimamente. En él se puede calcular fácilmente los puntos obtenidos en un torneo hipotético (importante tener en cuenta que el buy-in se calcula en base al buy-in neto, es decir, sin incluir el rake).
Calculadora en mano
Con todos los datos puestos anteriormente sobre la mesa ya bien afianzados, es momento de sacar la calculadora y por qué no, también un poco la bola de cristal, pues basaremos los números de a continuación en unas estimaciones que no siempre pueden ajustarse a la realidad. El futuro, todavía no hemos llegado a verlo claro.
Entre el líder provisional y el último clasificado hay un abismo de 12.836,41 puntos. ¿Puede haber sorpaso por parte de Jorge, Javi o incluso Nacho? Matemáticamente, es posible. Eso sí, hará falta una gran victoria para que tal cosa suceda. Hagamos cábalas:
Evento 160 – Monster Stack 10 € (40.000 € garantizados)
Victoria: alrededor de 14.420 puntos
5ª posición: 6.357 puntos
10ª posición: 4.491 puntos
Evento 162 – Monster Stack 6-Max 20 € (70.000 € garantizados)
Victoria: alrededor de 17.019 puntos
5ª posición: 7.596 puntos
10ª posición: 5.366 puntos
Evento 164 – 6 Max KO 50 € (150.000 € garantizados)
Victoria: alrededor de 21.471 puntos
5ª posición: 9.579 puntos
10ª posición: 6.767 puntos
Evento 167 – 6 Max 250 € (200.000 € garantizados)
Victoria: alrededor de 21.471 puntos
5ª posición: 8.584 puntos
10ª posición: 6.046 puntos
Evento 171 – Super Turbo Championship 250 € (60.000 € garantizados)
Victoria: alrededor de 10.609 puntos
5ª posición: 4.602 puntos
10ª posición: 3.212 puntos
Nota: las puntuaciones están calculadas en base a un premio acumulado que cubra ligeramente el garantizado. De hecho, si nos basamos en la tónica habitual a lo largo de todas las Winamax Series, las bolsas de premios deberían ser ligeramente más altas y por lo tanto, haber más puntos en juego.
La clasificación antes de la noche decisiva
Hay que tener en cuenta que la clasificación generada y actualizada automáticamente aun no computa los resultados de los eventos multiflight (High Five, Colossus, Million KO y 3 Million KO los cuales celebraron ayer su día 2 de competición). Es por ello que hemos calculado a mano los puntos obtenidos por cada candidato en cada uno de ellos. A diferencia de los ordenadores y las máquinas, los humanos cometemos errores, por lo que si hubiera alguno en estos cálculos aproximados, lo asumimos como propio pero no válido a la hora de computar los resultados oficiales. A la finalización de la competición, los resultados definitivos serán publicados en el lugar habitual.
| # | Nombre de usuario | Puntos | #Torneos |
|---|---|---|---|
| 1 | Timotyy | 39.600,04 | 225 |
| 2 | ontherirri |
36.198,69 (3.401,35 puntos de distancia) |
328 |
| 3 | L1m1tLess |
32.691,26 (6.908,78 puntos de distancia) |
288 |
| 4 | cast1gad0rrr |
24.063,63 (12.836,41 puntos de distancia) |
381 |
Final Top Shark: ranking actualizado en tiempo real con detalle de las actuaciones
Final Top Shark: el reglamento
Se viene por delante una larga madrugada donde seguiremos de cerca todo lo que vaya ocurriendo en nuestro lobby de torneos, con especial atención, lógicamente, a los cuatro protagonistas de la Top Shark. A través de Twitter, iremos actualizando durante toda la noche en caso de que haya giros inesperados. Seguro que lo disfrutaremos.
Las páginas a seguir:




@Winamax_España




